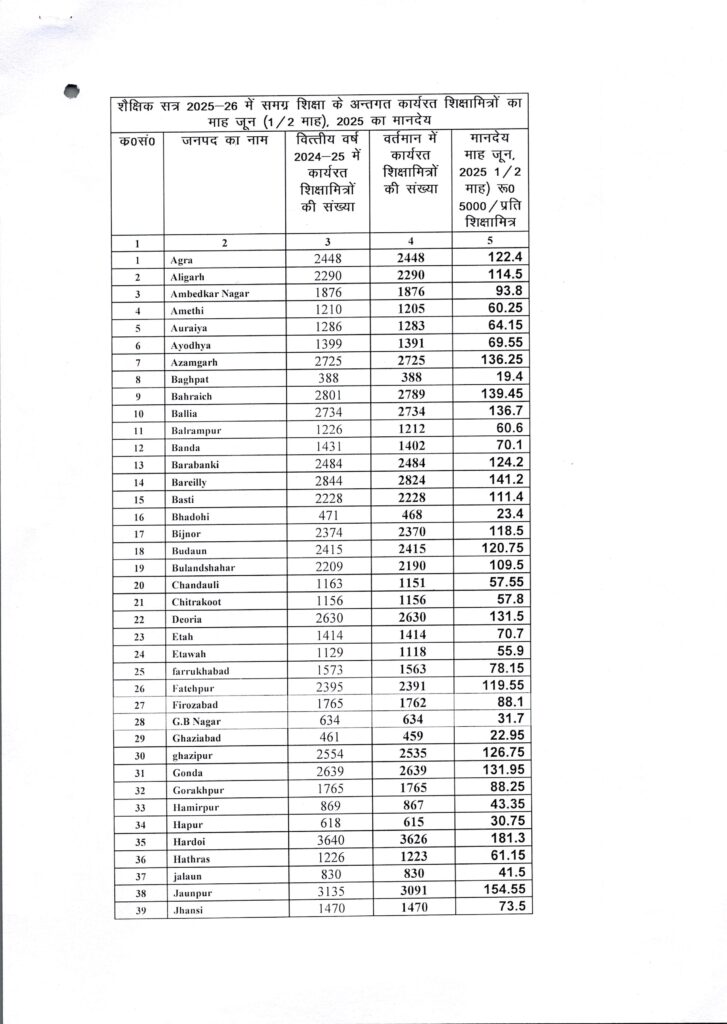
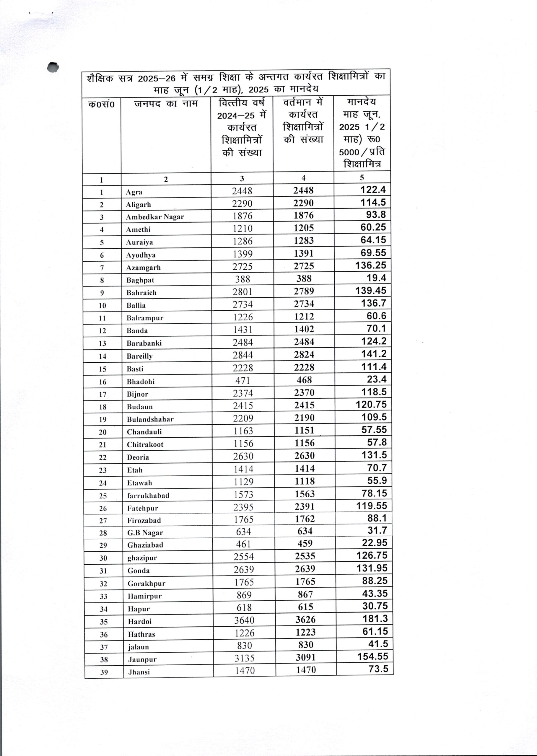
Home PRIMARY KA MASTER शिक्षामित्र मानदेय माह जून (1/2 माह) 2025 की धनराशि प्रेषण के संबंध में

शिक्षामित्र मानदेय माह जून (1/2 माह) 2025 की धनराशि प्रेषण के संबंध में

by Manju Maurya

शिक्षामित्र मानदेय माह जून (1/2 माह) 2025 की धनराशि प्रेषण के संबंध में

Related Articles

PRIMARY KA MASTER NOTICE

✍नोट :- इस ब्लॉग की सभी खबरें Google search से लीं गयीं, कृपया खबर का प्रयोग करने से पहले वैधानिक पुष्टि अवश्य कर लें, इसमें BLOG ADMIN की कोई जिम्मेदारी नहीं है, पाठक ख़बरे के प्रयोग हेतु खुद जिम्मेदार होगा!

PRIMARY KA MASTER

PRIMARY KA MASTER | primary ka master current news | primarykamaster | PRIMARY KA MASTER NEWS | primarykamaster news | up primary ka master | primary ka master | up ka master | uptet primary ka master | primary ka master com | प्राइमरी का मास्टर | basic siksha news | upbasiceduparishad |up basic news | basic shiksha parishad | up basic shiksha parishad | basic shiksha | up basic shiksha news | basic shiksha parishad news | basic news | up basic shiksha | basic shiksha news today | बेसिक शिक्षा न्यूज | बेसिक शिक्षा समाचार |basicshikshakparivar| basic shikshak parivar | basic shiksha samachar | basic ka master | basic shiksha com | up basic education news | basic shiksha vibhag | up basic shiksha latest news | Basicshikshak | up basic shiksha parishad news | uptet news | uptet latest news | uptet help | uptet blog | up tet news| updatemarts | update mart | SUPER TET | uptet latest news | uptetnews | www updatemarts com| updatemartsnews | ctet | d.el.ed | updeled | tet news | gurijiportal | upkamaster | basicshikshakhabar | primarykateacher | Shikshamitra | up shiksha mitra | shikhsa mitra news | govtjobsup | rojgarupdate | sarkari results | teachersclubs | sarkari master | sarkariresults| shasanadesh | tsctup |basicmaster | Basicguruji | sarkari rojgar